Gli agrumi….limoni, arance, mandarini e pompelmi sono, frutti ricchi di vitamine e flavonoidi, veri amici della salute e del benessere. Al loro interno racchiudono, molti antiossidanti, in grado di combattere i radicali liberi. ed un elevatissimo contenuto di vitamina C (il cui nome scientifico è acido L-ascorbico), che ha il compito di svolgere funzioni fondamentali all’interno del nostro organismo.
La vitamina C in particolare, è assolutamente essenziale per la nostra sopravvivenza, scopriamo le proprietà…
La carenza di Vitamina C genera lo scorbuto
Lo Scorbuto e il nome della patologia correlata alla mancanza di Vitamina C o acido ascorbico (prende il nome proprio da tale patologia correlata). La mancanza di tale molecola genera una carenza di collagene ed altre funzioni fondamentali correlate, portando da un’iniziale stanchezza allo sviluppo successivo di edemi delle braccia e delle gambe, alla fine la continua carenza di vitamina C portava a emorragie: sanguinamento dal naso e dalle gengive e la perdita dei denti, portando alla morte i soggetti colpiti per emorragie e per complicanze respiratorie infettive. Per secoli, lo Scorbuto è stata la principale causa di morte nei paesi del Nord Europa durante i mesi invernali (periodo in cui il consumo di ortaggi è molto ridotto) o tra gli equipaggi delle navi a lungo corso dove frutta e verdura fresche (dunque la vitamina C) non erano disponibili ad esempio il viaggio di Magellano attorno al mondo si concluse con l’80% dei marinai morti a causa di questa malattia. Pur essendo una delle malattie note da più tempo, si trovano descrizioni anche nell’Antico Testamento e negli scritti di Plinio il Vecchio, solo nel 1700, grazie ad uno studio di un ufficiale della marina inglese James Lind, si trovò una correlazione tra il consumo di agrumi e la patologia (Figura 1).
L’acido ascorbico (Vitamina C), prende il nome proprio dalla patologia correlata alla sua assenza, lo Scorbuto. Per evitare lo Scorbuto è necessario consumarne una dose di almeno 10 mg/die (milligrammi giornalieri), ma i dosaggi minimi consigliati dai vari organismi sanitari nazionali sono leggermente superiori, variando tra i 30 ed i 120 mg/die. Contando che limoni e arance hanno una concentrazione di vitamina c pari a 50 mg/100g, i peperoni di 150 mg/100g ed i broccoli di 110 mg/100g è facile osservare come con una dieta bilanciata (ricca di frutta e verdura) si superino abbondantemente queste soglie minime.

La Vitamina C è essenziale per produrre il Collagene
Tra le fondamentali funzioni svolte dalla vitamina C troviamo la sintesi del collagene (Figura 2), l’uomo infatti non è in grado di crearne questa importante molecola senza vitamina C. Il collagene è la principale proteina del tessuto connettivo negli animali, è fondamentale per la struttura, il rinnovo e la tenuta di: vasi sanguigni, pelle, muscoli e ossa, e rappresenta circa il 6% del peso corporeo di un essere umano (il 25% della massa proteica totale).

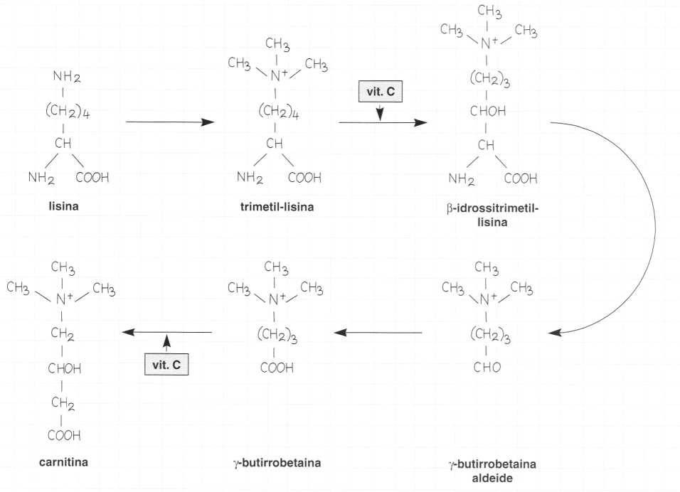
La sintesi del collagene avviene in parte nei fibroblasti dove si forma Inizialmente una catena polipeptidica: il procollagene, questa molecola subisce poi un’idrossilazione di un certo numero di molecole di lisina e prolina (amminoacidi) e proprio in questo passaggio fondamentale la vitamina C (acido ascorbico) svolge un ruolo essenziale da ”cofattore” per la corretta sintesi del collagene che servirà a riparare e dare tono ai tessuti (Figura 3).
Figura 3 – Biosintesi del Collagene
Il collagene è anche in grado di conferire alla nostra pelle resistenza alla trazione, tono e compattezza. Con l’avanzare dell’età, però, la sintesi di collagene diminuisce sempre di più, mentre le molecole già formate tendono a degradarsi sempre più velocemente, favorendo così la comparsa di rughe sempre più profonde e la perdita di tonicità e compattezza (Figura 4).
Figura 4 – Invecchiamento e Collagene
La Vitamina C interagisce con il consumo dei grassi
La vitamina C è fondamentale per la produzione di carnitina partendo dall’aminoacido lisina. La carnitina è sintetizzata nell’epatocita (cellule del fegato) e viene poi liberata in circolo e assunta dai tessuti periferici (muscoli scheletrici e dal cuore). Questa molecola, veicola l’ingresso di acidi grassi attivati (acil-CoA) nel mitocondrio dove vengono ossidati producendo energia (Figura 5).
Figura 5 – Ruolo della vitamina C nell’utilizzo dei grassi da parte de mitocondri
La Vitamina C veicola l’assorbimento del ferro
Il ferro alimentare è costituito da ferro eme (Fe++, ione ferroso) e da ferro non eme (Fe+++, ione ferrico).
- Il ferro eme (Fe++) è contenuto nell’emoglobina e nella mioglobina presente negli alimenti di origine animale (carni rosse magre, tacchino, pollo, pesci come tonno, merluzzo, salmone) ed è il ferro di più facile assorbimento da parte dell’intestino.
- Il ferro non eme (Fe+++) è presente negli alimenti di origine vegetale (cereali, legumi e nelle verdure) ed è ferro meno assorbibile da parte dell’intestino.
L’assorbimento del ferro non eme (Fe+++) è facilitato in presenza della Vitamina C (acido ascorbico), che ne facilita l’assorbimento tramite due meccanismi (Tabella 1- Figura 6):
VITAMINA C E FERRO | EFFETTI DELLA VIT.C |
| Riduzione degli ioni ferrici (Fe+++) – FERRO NON EME a in ioni ferrosi (Fe++) – FERRO EME, meglio assorbito Chelazione degli ioni ferrici (Fe+++) – FERRO NON EME che così possono essere assorbiti in questa forma Libera il ferro di riserva legato alla ferritina in forma di Fe++ presente nel fegato, nella milza e nel midollo osseo |

Arance e Vitamina C sono molecola contro il Covid19?
L”arancia (Citrus sinensis), frutto ben noto per il suo contenuto di vitamine e flavonoidi. Tra i flavonoidi, si evidenzia l’esperidina, che ha recentemente attirato l’attenzione dei ricercatori, perché si lega alle proteine-chiave del virus SARS-CoV-2. Vari metodi computazionali, applicati indipendentemente da diversi ricercatori, hanno dimostrato che l’esperidina ha una facilità di legame sia con la proteina “spike” del coronavirus, sia con la proteasi principale che trasforma le prime proteine del virus (pp1a e ppa1b) nel complesso responsabile per la replicazione virale suggerendo che questa molecola potrebbe svolgere un’efficace azione antivirale.
Inoltre, sia l’esperidina che l’acido ascorbico contrastano gli effetti dannosi per le cellule dei radicali liberi dell’ossigeno innescati dall’infezione e dall’infiammazione. La possibile efficacia preventiva della vitamina C, alla dose ottenibile dalla dieta, è oggetto di discussioni ma recenti rassegne suggeriscono che questa sostanza può essere utile in caso di forte carico del sistema immunitario causato da malattie virali. In conclusione, metodi computazionali e studi di laboratorio supportano la necessità di intraprendere appositi studi preclinici, epidemiologici e sperimentali sui potenziali benefici dei componenti degli agrumi per la prevenzione delle malattie infettive (Figura 7).

Vitamina C e l’interazione con i radicali liberi
L’acido ascorbico partecipa all’inattivazione dei radicali liberi dell’ossigeno, il che assicura una protezione dagli agenti ossidanti che sono tossici per la cellula.
La vitamina C e la vitamina E in ambiente lipidico hanno un effetto antiossidante sinergico, la Vitamina C infatti permette di rigenerare la forma ridotta della Vitamina E (che si sviluppa dopo la reazione con i radicali liberi), donando un elettrone al radicale tocoferossile. La forma così nuovamente riattivata della Vitamina E permetterà di “eliminare” così altri radicali liberi in un loop sinergico positivo e rigenerativo per l’organismo (Figura 8).

La Vitamina C protegge i neuroni
Diversi studi hanno dimostrato che la Vitamina C ha un effetto neuroprotettivo l’acido ascorbico infatti, contrastando i radicali liberi e agendo come modulatore dei sistemi neurotrasmettitori monoaminergici e glutamatergici, produce un effetto antidepressivo contrastando così le malattie legate allo stress, come la depressione e l’ansia.
La Vitamina C entra nelle cellule del sistema nervoso centrale (SNC) tramite i trasportatori della vitamina C di sodio (SVCT2) e i trasportatori facilitati del glucosio (GLUT1), anche se è stato postulato che possa entrare nel cervello anche attraverso la barriera emato-encefalica; tuttavia, il meccanismo non è stato chiarito. Una volta all’interno del cervello, l’acido ascorbico viene incorporato dai neuroni agendo poi come:
- neuromodulatore
- cofattore enzimatico
- spazzino delle specie reattive dell’ossigeno (ROS).
La Vitamina C sembra avere un ruolo positivo anche per la malattia di Parkinson (PD). E’ infatti una malattia neurodegenerativa ed è caratterizzata dalla progressiva degenerazione dei neuroni dopaminergici nella substantia nigra (SN), e lo stress ossidativo è stato identificato come una delle principali cause di degenerazione nigrostriatale nel PD. L’acido ascorbico agendo come antiossidante sembra svolgere un ruolo efficiente per proteggere le cellule dai danni dei radicali liberi, ma è facilmente ossidabile e perde la sua attività antiossidante pertanto ha bisogno di un apporto costante (Figura 9).

La Vitamina C fabbisogno giornaliero
Per l’adulto la quantità minima di vitamina C necessaria per prevenire lo scorbuto è di circa 10 mg/die, ma la quantità raccomandata secondo i LARN (Livelli di Assunzione di Riferimento di Nutrienti ed energia, IV Revisione 2014), varia in base a età ed esigenze ed è pari a 105 mg per gli uomini e 85 mg per le donne (Tabella 2)

L’EFSA e il Ministero della salute fissano a 1 g/ die il valore di assunzione da non superare.

L’emivita (il tempo necessario in cui i processi di eliminazione fanno diminuire la quantità della molecola nell’organismo del 50%), è di circa 10-20 giorni. Quando si somministrano dosi elevate e la concentrazione plasmatica supera 14 mg/1, la vitamina C assorbita viene principalmente eliminata in forma invariata nelle urine. Normalmente viene eliminata nelle urine sotto forma di metaboliti, mentre solo piccole quantità sono eliminate nelle feci, nel sudore e per via respiratoria sotto forma di CO2. Visto l’importanza fondamentale di tale molecola per il nostro corpo, la vitamina C viene recuperata per oltre il 90% nei reni attraverso un riassorbimento tubolare (Figura 10).

Però in caso se ne assumessero alti dosaggi (come ad esempio una integrazione), l’eccesso verrebbe espulso dalle urine maggiormente come acido ascorbico e in formato minore come metaboliti come l’acido ossalico (55%), l’acido deidroascorbico (25%), l’acido dicheto-gluconico (2%) e l’ascorbato-2-solfato.
La Vitamina C nel piatto
La Vitamina C contenuta negli alimenti è molto sensibile alla degradazione che può avvenire preparando le pietanze, ecco come:
| PREPARAZIONE IN CUCINA | EFFETTI SULLA DEGRADAZIONE DELLA VITAMINA C |
| Cottura a alte temperature (forno) o prolungata a basse temperature, mantenimento al caldo o riscaldamento degli alimenti | La vitamina C è sensibile al calore e la degradazione può arrivare anche al 90%-100% per cotture molto prolungate |
| Lessare le verdure | La vitamina C è solubile in acqua, il che può provocare un impoverimento supplementare oltre a quello dato dall’esposizione al calore |
| Centrifugati e spremute | L’esposizione alla luce e all’ossigeno degrada la vitamina C, pertanto si consiglia il consumo rapido una volta preparati |
| Frutta e verdura cruda, alimenti consumati in breve tempo dal momento della preparazione e/o tenuti al buio in frigo | Con questo preparazione, viene mantenuta alta la concentrazione di vitamina C degli alimenti |
Per assumere la vitamina C con gli alimenti quindi, è consigliabile ingerire la frutta e la verdura che ne contengono in alte quantità (Tabella 4), senza esporli a processi di cottura e non preparati in precedenza e esposti alla luce.

Dott.Emanuele Rondina-Biologo Nutrizionista
Bibliografia
- The Journal of Nutritional Biochemistry, Volume 85, November 2020, 108459 Reviews: Current Topics – The role of vitamin C in stress-related disorders- BettinaMoritzAriana E.SchmitzAna Lúcia S.RodriguesAlcir L.DafreMauricio P.Cunha
- Szent-Györgyi A. Lost in the twentieth century. Annu Rev Biochem. 1963; 32: 1
- Brown BG, Zhao X-Q, Chait A, et al. Simvastatin and niacin, antioxidant vitamins, or the combination for the prevention of coronary disease. N Engl J Med. 2001; 345: 1583–1592
- Sukhova GK, Schonbeck U, Rabkin E, et al. Evidence for increased collagenolysis by interstitial collagenases-1 and -3 in vulnerable human atheromatous plaques. Circulation. 1999; 99: 2503–2509
- Herman MP, Sukhova GK, Libby P, et al. Expression of neutrophil collagenase (matrix metalloproteinase-8) in human atheroma: a novel collagenolytic pathway suggested by transcriptional profiling. Circ1 ulation. 2001; 104: 1899–1904
- Lind J. A Treatise on the Scurvy. 3rd ed. London, England: Printed for S. Crowder, D. Wilson and G. Nicholls, T. Cadell, T. Becket, and Co, G Pearch, and W Woodfall; 1772
- Fukumoto Y, Libby P, Rabkin E, et al. Statins alter smooth muscle cell accumulation and collagen content in established atheroma of Watanabe heritable hyperlipidemic rabbits. Circulation. 2001; 103: 993–999
- Bowie AG, O’Neill LA. Vitamin C inhibits NF-κB activation by TNF via the activation of p38 mitogen-activated protein kinase. J Immunol.;. 2000; 165: 7180–7188
- Gruppo Italiano per lo Studio della Sopravvivenza nell’Infarto miocardico. Dietary supplementation with n-3 polyunsaturated fatty acids and vitamin E after myocardial infarction: results of the GISSI-Prevenzione trial. Lancet. 1999; 354: 447–455
- Bellavite P, Donzelli A. Hesperidin and SARS-CoV-2: New Light on the Healthy Function of Citrus Fruits. Antioxidants (Basel) 2020 Aug 13;9(8) A. Mas-Capdevila, et al., Nutrients. 2020, 12.
- F. Meneguzzo, R. Ciriminna, F. Zabini, M. Pagliaro, Processes 2020, 8, 549.C. Wu, Y. Liu, et al., Acta Pharmaceutica Sinica B, 2020.
- Basu, A. Sarkar, U. Maulik, Sci Rep. 2020, 10, 17699. [6] N. Behloul, S. Baha et al. Eur. J Pharmacol 2020, 173701.
- Esperidina e SARS-CoV-2: nuova luce sulla funzione salutare degli agrumi (Italian translation) October 2020 Antioxidants Authors: Paolo Bellavite-University of Verona, Alberto Donzelli- Azienda Sanitaria Locale di Milano
- Vitamin C Transporters, Recycling and the Bystander Effect in the Nervous System: SVCT2 versus Gluts-May 2014-Journal of Stem Cell Research & Therapy 4(5):209-Francisco Nualart,Lauren Mack,Andrea Garcia,Fanshawe College,Pedro Cisternas
- Neuroprotective effect of NXP031 in the MPTP-induced Parkinson’s disease model – January 2021, Neuroscience, Authors:Min Kyung Song, Joo Hee Lee, Jinil Kim, Ji Hyun Kim
- https://www.crea.gov.it/-/tabella-di-composizione-degli-alimenti
- http://www.salute.gov.it/imgs/C_17_pagineAree_1268_5_file.pdf
- https://www.epicentro.iss.it/vitamine/
Dott. EMANUELE RONDINA – Biologo Nutrizionista – Via Dell’Orso N°5 / Via F. Argelati N°2 – BOLOGNA
Email dott.emanuelerondina@gmail.com – Sito http://informamangiando.com










